Rangkaian Tapis Lolos Rendah (Low-Pass Filter) Tipe-1
By GEDABUZ - Kamis, 09 Agustus 2012
Salah satu bentuk rangkaian lolos rendah seperti diskemakan pada gambar 5.5,
memperlihatkan tegangan sinus i v dikenakan pada masukan rangkaian dan diinginkan
hasil keluaran o v . Misalkan arus yang mengalir adalah sebesar


Gambar 5.5 Rangkaian tapis lolos rendah tipe-1
Selanjutnya arus i ini sebagai isyarat acuan atau referensi. Tegangan pada
kapasitor dan resistor masing-masing diberikan oleh:

Secara aljabar kedua tegangan ini dapat dijumlahkan, namun akan lebih mudah dengan
menggunakan diagram phasor seperti diskemakan pada gambar 5.6.

Gambar 5.6 Diagram phasor rangkaian tapis lolos rendah tipe-1
Komponen dan Rangkaian AC 45
Pada gambar 5.6 terlihat bahwa tegangan keluaran tertinggal terhadap tegangan
masukan, karenanya sudut fase q harus diukur “dari” masukan i v “ke” keluaran o v ,
berharga negatif dan diberikan oleh

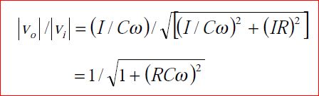
Amplitudo keluaran sebagai fungsi dari amplitudo masukan dapat dituliskan sebagai

Parameter RC biasa diganti dengan parameter tunggal disebut konstanta waktu, dalam
hal ini

wo adalah frekuensi dimana reaktansi kapasitor dan resistor mempunyai harga yang
sama, kita dapat menuliskan

Catatan penting untuk tapis lolos rendah:
i) Pada frekuensi rendah, dimana w << wo , q » 0o ; persamaan 5.35 menjadi

iii) Jika

Besarnya penguatan (gain) biasanya dinyatakan dalam dB (decibels), yaitu
merupakan harga logaritma dari perbandingan daya, dituliskan sebagai

atau dapat dinyatakan sebagai perbandingan tegangan dan untuk rangkaian diatas dapat
dituliskan sebagai

Jadi untuk Vo/Vi=1akar2 diperoleh penguatan sebesar -3 dB. Oleh sebab itu o w
biasanya disebut “frekuensi 3 dB”.

Gambar 5.7 Plot respon frekuensi terhadap amplitudo dan fase tapis lolos rendah.

Gambar 5.8 Plot respon frekuensi terhadap penguatan (dB) dan fase pada tapis lolos
rendah.
Gambar 5.7 dan 5.8 memperlihatkan plot respon frekuensi dari rangkaian tapis
lolos rendah dengan menggunakan komputer. Pada gambar tersebut diperlihatkan
besarnya penguatan (gain) dalam bentuk Vo/Vi (gambar 5.7) dan dB (gambar 5.8)
sebagai fungsi perbandingan frekuensi. Perlu diperhatikan bahwa frekuensi telah
dinormalisasikan, yaitu dinyatakan dalam bentuk W/Wo atau f/fo dan dinyatakan
dalam skala logaritma agar dicapai interval frekuensi yang lebar.
memperlihatkan tegangan sinus i v dikenakan pada masukan rangkaian dan diinginkan
hasil keluaran o v . Misalkan arus yang mengalir adalah sebesar

Gambar 5.5 Rangkaian tapis lolos rendah tipe-1
Selanjutnya arus i ini sebagai isyarat acuan atau referensi. Tegangan pada
kapasitor dan resistor masing-masing diberikan oleh:
Secara aljabar kedua tegangan ini dapat dijumlahkan, namun akan lebih mudah dengan
menggunakan diagram phasor seperti diskemakan pada gambar 5.6.

Gambar 5.6 Diagram phasor rangkaian tapis lolos rendah tipe-1
Komponen dan Rangkaian AC 45
Pada gambar 5.6 terlihat bahwa tegangan keluaran tertinggal terhadap tegangan
masukan, karenanya sudut fase q harus diukur “dari” masukan i v “ke” keluaran o v ,
berharga negatif dan diberikan oleh
Amplitudo keluaran sebagai fungsi dari amplitudo masukan dapat dituliskan sebagai
Parameter RC biasa diganti dengan parameter tunggal disebut konstanta waktu, dalam
hal ini
wo adalah frekuensi dimana reaktansi kapasitor dan resistor mempunyai harga yang
sama, kita dapat menuliskan
Catatan penting untuk tapis lolos rendah:
i) Pada frekuensi rendah, dimana w << wo , q » 0o ; persamaan 5.35 menjadi
iii) Jika
Besarnya penguatan (gain) biasanya dinyatakan dalam dB (decibels), yaitu
merupakan harga logaritma dari perbandingan daya, dituliskan sebagai
atau dapat dinyatakan sebagai perbandingan tegangan dan untuk rangkaian diatas dapat
dituliskan sebagai
Jadi untuk Vo/Vi=1akar2 diperoleh penguatan sebesar -3 dB. Oleh sebab itu o w
biasanya disebut “frekuensi 3 dB”.

Gambar 5.7 Plot respon frekuensi terhadap amplitudo dan fase tapis lolos rendah.

Gambar 5.8 Plot respon frekuensi terhadap penguatan (dB) dan fase pada tapis lolos
rendah.
Gambar 5.7 dan 5.8 memperlihatkan plot respon frekuensi dari rangkaian tapis
lolos rendah dengan menggunakan komputer. Pada gambar tersebut diperlihatkan
besarnya penguatan (gain) dalam bentuk Vo/Vi (gambar 5.7) dan dB (gambar 5.8)
sebagai fungsi perbandingan frekuensi. Perlu diperhatikan bahwa frekuensi telah
dinormalisasikan, yaitu dinyatakan dalam bentuk W/Wo atau f/fo dan dinyatakan
dalam skala logaritma agar dicapai interval frekuensi yang lebar.
Follow our blog on Twitter, become a fan on Facebook. Stay updated via RSS
0 komentar for "Rangkaian Tapis Lolos Rendah (Low-Pass Filter) Tipe-1"