Pemasangan Panjar Umpan-Balik Emitor
By GEDABUZ - Sabtu, 18 Agustus 2012
Teknik yang banyak digunakan untuk memberikan panjar dengan umpan-balik
diperlihatkan pada gambar 11.7. Pada rangkaian ini panjar tetap akan memberikan
“arus basis” yang akan selanjutnya akan menentukan besarnya arus emitor. Masukan
harus dipasang kapasitor dengan basis untuk menjaga gangguan kondisi panjar.

Gambar 11.7 Rangkaian panjar umpan-balik emitor
i) Arus Basis Diabaikan
Jika arus basis dapat diabaikan kita mempunyai

dan karena
Selanjutnya kita dapat menghitung besarnya arus emitor sebesar

Jika masukan diharapkan mempunyai efek yang maksimum, maka pada emitor
hampir tidak ada tegangan AC- dan hanya ada di basis. Kapasitor E C memastikan
kondisi tersebut, namun kapasitor harus berharga sangat besar. Perhatikan rangkaian
tertutup i E v , C, B - E, C untuk melihat kenapa digunakan E C .
Agar kita dapat mengabaikan harga arus basis pada perhitungan di atas, arus
pada pembagi potensial harus relatif besar. Ini dimungkinkan karena arus emitor tidak
terlalu tergantung pada besarnya b dari transistor, tetapi kita mengharapkan arus AC
masukan terbuang karena harga 1 2 R , R terlalu rendah.
ii) Tanpa Mengabaikan Arus BasisJika arus basis tidak dapat diabaikan, perhitungan besarnya arus emitor sedikit lebih
panjang. Langkah pertama adalah dengan menggantikan pembagi potensial pada
gambar 11.7 dengan sebuah rangkaian ekivalen terdiri dari sebuah sumber tegangan BB V
dan sebuah resistor tunggal B R (ingat teorema Thevenin), masing-masing berharga

Terdapat penurunan tegangan pada B R yaitu B B I R dan pada E R sebesar

Dengan menggunakan hukum Kirchhoff tentang tegangan, pada rangkaian tertutup yang
melibatkan BB B BE E V , R , V , dan R , diperoleh

sehingga

Kita juga mempunyai persamaan lain sebagai:

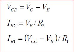
Perhatikan bahwa pada persamaan di atas terdapat C V bukan CE V . Jika pada emitor
terdapat resistor seperti rangkaian ini, maka kita harus memodifikasi garis bebannya.

Perhatikan bahwa kedua arus terakhir di atas adalah sama dengan
Kita mempunyai

Dua parameter pada persamaan 11.12 yang bervariasi antara transistor satu dengan
lainnya adalah dan b BE V . BE V biasanya berharga sekitar 0,2 V, sehingga pembilang
BB BE V -V sedikit tergantung pada jenis transistor jika

b biasanya berharga paling tidak = 25, sehingga penyebut pada persamaan 11.12 tidak
tergantung pada jenis transistor jika

Kita tidak perlu menginagt-ingat persamaan di atas, namun dua langkah yang perlu
diingat adalah:
i) Gantikan rangkaian pembagi potensial dengan rangkaian yang lebih
sederhana.
ii) Gunakan analisa rangkaian dengan hukum Kirchhoff tentang tegangan pada
loop basis-emitor.
Metode perhitungan lain adalah dengan menggunakan pendekatan perhitungan
B1 V untuk B V dan mengabaikan arus basis. Dari sini kita dapatkan pendekatan harga
E E B V , I dan I . Selanjutnya didapat pendekatan yang lebih baik untuk B V sebagai

Jika digunakan dua pencatu daya, rangkaian di atas dapat disederhanakan seperti terlihat
pada gambar 11.7. Di sini masukan tidak perlu dipasang kapasitor, dan masukan akan
berubah-ubah terhadap tanah (ground).

Gambar 11.8 Penyederhanaan rangkaian dengan menggunakan pendekatan
diperlihatkan pada gambar 11.7. Pada rangkaian ini panjar tetap akan memberikan
“arus basis” yang akan selanjutnya akan menentukan besarnya arus emitor. Masukan
harus dipasang kapasitor dengan basis untuk menjaga gangguan kondisi panjar.
Gambar 11.7 Rangkaian panjar umpan-balik emitor
i) Arus Basis Diabaikan
Jika arus basis dapat diabaikan kita mempunyai
dan karena
Selanjutnya kita dapat menghitung besarnya arus emitor sebesar
Jika masukan diharapkan mempunyai efek yang maksimum, maka pada emitor
hampir tidak ada tegangan AC- dan hanya ada di basis. Kapasitor E C memastikan
kondisi tersebut, namun kapasitor harus berharga sangat besar. Perhatikan rangkaian
tertutup i E v , C, B - E, C untuk melihat kenapa digunakan E C .
Agar kita dapat mengabaikan harga arus basis pada perhitungan di atas, arus
pada pembagi potensial harus relatif besar. Ini dimungkinkan karena arus emitor tidak
terlalu tergantung pada besarnya b dari transistor, tetapi kita mengharapkan arus AC
masukan terbuang karena harga 1 2 R , R terlalu rendah.
ii) Tanpa Mengabaikan Arus BasisJika arus basis tidak dapat diabaikan, perhitungan besarnya arus emitor sedikit lebih
panjang. Langkah pertama adalah dengan menggantikan pembagi potensial pada
gambar 11.7 dengan sebuah rangkaian ekivalen terdiri dari sebuah sumber tegangan BB V
dan sebuah resistor tunggal B R (ingat teorema Thevenin), masing-masing berharga
Terdapat penurunan tegangan pada B R yaitu B B I R dan pada E R sebesar
Dengan menggunakan hukum Kirchhoff tentang tegangan, pada rangkaian tertutup yang
melibatkan BB B BE E V , R , V , dan R , diperoleh
sehingga
Kita juga mempunyai persamaan lain sebagai:
Perhatikan bahwa pada persamaan di atas terdapat C V bukan CE V . Jika pada emitor
terdapat resistor seperti rangkaian ini, maka kita harus memodifikasi garis bebannya.
Perhatikan bahwa kedua arus terakhir di atas adalah sama dengan
Kita mempunyai
Dua parameter pada persamaan 11.12 yang bervariasi antara transistor satu dengan
lainnya adalah dan b BE V . BE V biasanya berharga sekitar 0,2 V, sehingga pembilang
BB BE V -V sedikit tergantung pada jenis transistor jika
b biasanya berharga paling tidak = 25, sehingga penyebut pada persamaan 11.12 tidak
tergantung pada jenis transistor jika
Kita tidak perlu menginagt-ingat persamaan di atas, namun dua langkah yang perlu
diingat adalah:
i) Gantikan rangkaian pembagi potensial dengan rangkaian yang lebih
sederhana.
ii) Gunakan analisa rangkaian dengan hukum Kirchhoff tentang tegangan pada
loop basis-emitor.
Metode perhitungan lain adalah dengan menggunakan pendekatan perhitungan
B1 V untuk B V dan mengabaikan arus basis. Dari sini kita dapatkan pendekatan harga
E E B V , I dan I . Selanjutnya didapat pendekatan yang lebih baik untuk B V sebagai
Jika digunakan dua pencatu daya, rangkaian di atas dapat disederhanakan seperti terlihat
pada gambar 11.7. Di sini masukan tidak perlu dipasang kapasitor, dan masukan akan
berubah-ubah terhadap tanah (ground).
Gambar 11.8 Penyederhanaan rangkaian dengan menggunakan pendekatan
Follow our blog on Twitter, become a fan on Facebook. Stay updated via RSS
0 komentar for "Pemasangan Panjar Umpan-Balik Emitor"